Frispark
Såhär i vm-tider passar det väl bra med en fotbollsrelaterad blogartikel? När jag blev ombedd att skriva denna artikel tänkte jag länge och väl på vad som skulle kunna passa. Kanske skruva en boll och studera Magnus-effekten m h a FlowSimulation, kanske rita en klassisk svart-vit fotboll i SOLIDWORKS? Nä, det jag fastnade för var att skjuta en välriktad utspark rakt i mål.
Hur kan vi angripa detta problem? Jag började med att rita upp en skalenlig fotbollsplan, en boll samt en målbur. Målburen mate:ades på plats medan bollen positionerades m h a Move with Triad. Vi undvek mate:s just för bollen då vi vill låta fysikens lagar styra dess flykt.

För att skjuta bollen är SOLIDWORKS Motion det självklara valet. Detta är ett addin som ingår i SOLIDWORKS Premium och som startas från addins-fliken. Själva simuleringen görs sen i Motion Study-fliken.
Det första jag gjorde var att ge bollen en starthastighet. För att underlätta detta skapade jag en skiss i bollen som hjälp för att definiera riktningen.

I simuleringen valde jag att ge bollen en hastighet på 35 m/s. Det motsvarar den frispark Roberto Carlos sköt i matchen mellan Brasilien och Frankrike 1997.

För att bollen inte ska försvinna ut i omloppsbana behöver vi något som drar den tillbaka mot marken. För detta ändamål uppfann Isaac Newton gravitationen. Gravitation är en knapptryckning bort och det enda vi behöver ha koll på är riktningen.
Om bollen skulle få för sig att komma i kontakt med antingen planen eller målburen vet alla som provat fotboll att bollen studsar. För att åstadkomma det kan vi introducera kontakt. Då vi bara är intresserade av kontakt mellan boll och målbur eller boll och plan, men inte målbur och plan, kan vi använda oss av kontaktgrupper för att snabba upp beräkningen en aning.

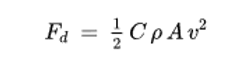
Med dessa bitar på plats har vi nu allt som behövs för en realistisk simulering av en utspark i Vakuum. Då vi, som tur är, oftast omger oss med luft måste vi på något vis få med detta i ekvationen. Ett sätt att lösa det är att skapa två resultatplottar. En för bollens horisontella hastighet och en för dess vertikala. Dessa kan vi sen använda för att ansätta en bromsande kraft proportionell mot kvadraten på hastigheten.

Luftmotståndet beräknas som:

där:
Fd är luftmotståndet
C är luftmotståndskoefficienten, 0,47 för en sfär
ρ är luftens densitet, 1.2041Kg/m3
A är föremålets tvärsnittsarea
v är bollens relativa hastighet genom luften
Med detta kan vi ansätta två krafter på bollen, en vertikal och en horisontell

För att koppla storleken på kraften till bollens hastighet valdes Force Function till Expression och ovanstående ekvation matades in. För hastigheten användes motsvarande resultatplot.

Detta blir ett aningens förenklat scenario då vi gör antagandet att frisparken skjuts när det är helt vindstilla, men vem spelar fotboll när det blåser?
Till slut är vi då framme vid avgörandet. Kommer bollen gå i mål, eller blir det en strumprullare som stannar innan mittlinjen? Bedöm själva!
Vi får hoppas att landslaget laddar upp inför åttondelsfinalen med att läsa denna artikel, så borde segern vara inom räckhåll.
Väl mött nästa gång!
